独播库

 
Position: homepage  News and Events
News and Events
电子学院在拓扑外尔半金属MoTe2的超导研究中取得进展
Date:2023-04-04 | Visits:10


近日,独播库 王学锋教授、张荣教授团队与多个课题组合作,在高质量的拓扑外尔半金属MoTe2单晶中,通过采用钽替位掺杂引入空穴的策略,实现了超导转变温度从100 mK7.5 K的大幅提升,是常压下当前的最高值;上临界场也提高至14.5 T,显著超越了泡利极限。这为利用掺杂手段调控拓扑材料和超导的关联效应提供了新的思路,也为常压下研究奇异拓扑超导物理和新型拓扑量子器件奠定了材料基础。该研究成果以“钽掺杂Td-MoTe2外尔半金属中增强的超导和上临界场(Enhanced Superconductivity and Upper Critical Field in Ta-Doped Weyl Semimetal Td-MoTe2)”为题,作为卷首文章(Frontispiece)的形式发表于国际著名期刊《先进材料(Advanced Materials)》。论文链接://doi.org/10.1002/adma.202207841


 MoTe2是层状过渡金属硫族化合物MX2家族典型的拓扑量子材料,因其强自旋-轨道耦合作用、多样的物相结构、超高的载流子迁移率、不饱和磁电阻和丰富的非平庸拓扑与超导电子态而成为拓扑超导和量子计算基础研究的前沿,受到了学界的广泛关注。其中,Td相的MoTe2是著名的第二类外尔半金属,1T’相是新奇的高阶拓扑绝缘体;而单层的1T’MoTe2也被理论预言为量子自旋霍尔绝缘体,在低损耗电子器件中发挥重要作用。同时,MoTe2自身也能超导,其常压下超导转变温度约为0.1 K,因而成为研究拓扑和超导相互作用的候选平台。然而,因其超导转变温度过低,严重制约了拓扑超导相关研究的进一步发展。要提高该体系中的超导转变温度,目前采取的方法之一是施加外部压力,在高压下(11.7 GPa)的超导极限可增强至约8.2 K。此外,元素掺杂作为一种常压且在空气中稳定的方法,在该体系中也被初步尝试,可引入晶格畸变而带来局域的化学压力,导致能带发生变化。例如,通过铼替位掺杂,MoTe2最高超导转变温度可达4.1 K。然而,通过元素掺杂手段在常压下实现MoTe2中接近甚至超越高压下的超导极限温度仍充满了极大的挑战。

针对这一问题,王学锋课题组基于前期丰富的拓扑绝缘体掺杂经验的基础上[Adv. Mater. 27, 4823 (2015); Nanoscale 9, 12372 (2017); ACS Nano 12, 1537 (2018); Adv. Funct. Mater. 29, 1905806 (2019)],最近三年继续发展自助熔剂法,采用钽替位掺杂引入空穴的策略,生长出了不同掺杂浓度Mo1-xTaxTe2单晶(0 ≤ x ≤ 0.26),克服了人们常用的化学气相输运法无法长出高质量单晶的困难。室温拉曼光谱测量表明不同掺杂浓度的样品仍然拥有1T’相结构(图1b)。室温单晶X射线衍射测量表明样品呈现很好的单晶性,所有衍射峰择优c轴取向。放大的(002)衍射峰还出现了双峰特点,这表明所制备的单晶样品质量极高,能够被X射线的精细结构所分辨;同时还可以观察到衍射峰随着掺杂浓度的增加而向高角度偏移,表明了晶格层间距的减小,由于替位掺杂引入了很明显的晶格畸变与化学压力(图1c)。高分辨透射电镜显微照片与选区电子衍射图案也都进一步确认了Ta掺杂MoTe21T’相与单晶特征(图1d)。

1. Mo1-xTaxTe2单晶的结构表征结果。


从样品的电学输运测量曲线(图2a)可以看到在低掺杂样品中(x ≤ 0.08)升温和降温曲线出现了变温电阻曲线的明显回滞,这通常是由MoTe2中的低温Td相与高温1T’相之间的结构相变所致。随着掺杂浓度大于或等于0.15,低温的Td相会被完全压制而不呈现电阻回滞。而在低温区,可以观察到x ≥ 0.08的样品低温电阻骤降突变(图2b),预示着超导迹象,但还没完全到零电阻,这归因于超导体积占比过低(~1.4%)的情况。通过进一步的抗磁性测量,能观察到很明显的迈斯纳效应,证明其低温电阻的骤降突变来源于超导相变(图2c)。基于以上的MoTe2随掺杂浓度变化的结构相变和超导相变结果,勾画出了如图2d所示的半拱形相图。

2.确定Mo1-xTaxTe2中的Td-1T’结构相变和超导相变。


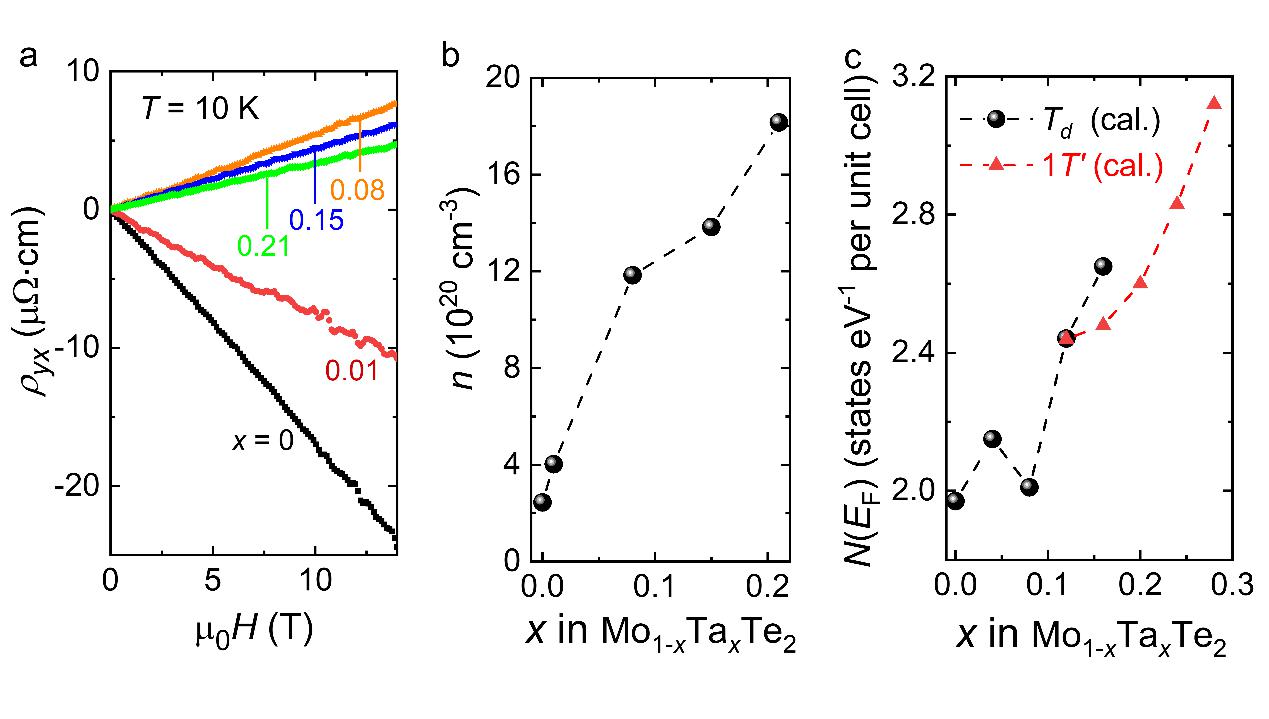
为了进一步揭示Ta掺杂MoTe2单晶中超导增强的来源,器件霍尔测量和第一性原理计算均给出了合理的解释。通过分析霍尔测量数据,发现参与输运的载流子浓度随着Ta掺杂浓度的增加而提高,从未掺杂至掺杂浓度x = 0.21,载流子浓度几乎提高了一个数量级(图3b)。这说明Mo1-xTaxTe2单晶中超导性能的提高来源于费米面处载流子浓度的巨大提升。第一性原理计算也从能带结构上给出了和实验测量上类似的结果,也就是说Ta替位掺杂能显著提高费米面处的态密度(图3c)。

3.Mo1-xTaxTe2中载流子浓度随掺杂浓度的增加而提高。


 Mo1-xTaxTe2单晶在掺杂浓度x = 0.22时超导转变温度提高到了7.5 K,这是常压下所见文献报道的最高值,非常接近于高压下的超导极限转变温度(8.2 K),从而大大拓展了研究拓扑超导的温度范围。通过如上低温下的霍尔电阻测量和理论计算,发现Ta原子的替位掺杂不仅施加晶格畸变与化学压力,而且引入了空穴掺杂,极大地下移了费米面,促成了费米面附近载流子浓度的显著增大,这也成为该体系超导转变温度显著提高的最可能解释。同时,掺杂量的提高也让该体系在低温区出现了Td-1T’相的结构相变,低温拉曼测量结果也确证了该结构基态的转变。此外,在进行了电输运测量后,从磁输运测量中也发现了结构依赖的垂直上临界场行为,并通过两带拟合与单带拟合详细分析了其对温度的依赖关系。在1T’相晶体中心对称的结构中,上临界磁场在泡利顺磁极限以下,符合常规的s波配对机制;但在拓扑外尔半金属Td相晶体非中心对称的结构中,却发现上临界磁场显著超越了泡利极限,提高至14.5 T,这可能归因于Td相的中心反演对称性破缺导致了额外的自旋三重态(即两个电子自旋取向一致)的出现,正是这种奇异的混合“单重态-三重态”超导提高了垂直上临界磁场的强度。该项研究对在层状过渡金属硫族化合物中研究常压下的非常规超导和拓扑物理奠定了重要基础,也为研制新型拓扑量子器件提供了材料平台。

独播库 博士生张勇为该论文的第一作者。独播库 电子学院王学锋教授、物理学院宋凤麒教授、费付聪副研究员和中科院宁波材料所钟志诚研究员为论文的共同通讯作者。独播库 张荣教授对该工作给予了重要指导。独播库 奚啸翔教授、吴小山教授、吴镝教授等对该工作提供了大力支持和重要帮助。独播库 为论文第一完成单位。该项研究工作得到了国家自然科学基金、科技部国家重点研发计划、中央高校基本科研业务费和中科院前沿科学重点研究计划等项目的资助。此外,独播库 人工微结构科学与技术协同创新中心、江苏省光电信息功能材料重点实验室以及微制造与集成工艺中心等研究平台对该工作也给予了重要支持。


 
Copyright © Xuefeng Wang Group. All Rights Reserved.
School of Electronic Science and Engineering, Nanjing University